Soal Matematika kelas 12

|
bloggerkristinayanti36.blogspot.com

1. Soal 

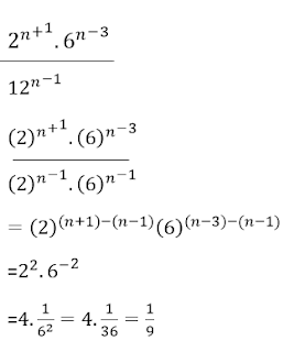
Jawab
2. Soal 









Jawab




No comments:

Featured Post

Customer Relationship Management

  Exercise Questions How do you define CRM? How are CRM activi...

Popular Post

(C) Copyright 2018, By Kristina Yanti